| 일 | 월 | 화 | 수 | 목 | 금 | 토 |
|---|---|---|---|---|---|---|
| 1 | 2 | 3 | 4 | 5 | 6 | 7 |
| 8 | 9 | 10 | 11 | 12 | 13 | 14 |
| 15 | 16 | 17 | 18 | 19 | 20 | 21 |
| 22 | 23 | 24 | 25 | 26 | 27 | 28 |
| 29 | 30 | 31 |
- 뱀파이어서바이벌
- ubuntu
- 오픈워터
- guide
- 개발툴
- 여행
- Front-end
- JS
- docker
- 스쿠버다이빙
- PostgreSQL
- 야생의숨결
- intellij
- 안드로이드
- 세부
- window11
- poe2
- 게임
- 엘든링
- 취미
- Linux
- 젤다의전설
- window10
- 공략
- 다이빙
- 씨홀스
- JavaScript
- window
- 어드벤스
- WebView
- Today
- Total
Rianshin
[정보처리기사 실기] 2020년 1회 본문
<2020년 정보처리기사 실기 기출문제>
1. ( ) 안에 들어갈 단어를 작성하시오.
- ( )은 웹브라우저 간 HTML 문법이 호환되지 않는 문제와 SGML의 복잡함을 해결하기 위하여 개발된 다목적 마크업 언어이다.
- 다른 목적의 마크업 언어를 만드는데 사용된다.
- 유니코드를 기반으로 다국어를 지원한다.
- 텍스트 형식의 데이터 포맷으로 다양한 플랫폼과 시스템에서 활용할 수 있다.
- 사용자가 직접 문서의 태그를 정의할 수 있으며, 다른 사용자가 정의한 태그를 사용할 수 있다.
- 트리 구조로 구성되어 있어 상위 태그는 여러 개의 하위 태그를 가질 수 있다.
- 모든 태그는 종료 태그를 가져야 하며, 시작 태그와 종료 태그의 요 소명은 동일해야 한다.
2. ( ) 안에 들어갈 단어를 작성하시오.
( )은 속성-값 쌍(attribute-value pairs)으로 이루어진 데이터 오브젝트를 전달하기 위해 사용하는 개방형 표준 포맷이다. AJAX에서 많이 사용되고 XML을 대체하는 주요 데이터 포맷이다. 언어 독립형 데이터 포맷으로 다양한 프로그래밍 언어에서 사용되고 있다.
3. 릴리즈 노트를 작성할 때 릴리즈 노트 이름, 소프트웨어 이름, 릴리즈 버전, 릴리즈 날짜, 릴리즈 노트 날짜, 릴리즈 노트 버전 등이 들어가는 항목은 어느 부분인지 작성하시오.
4. 애플리케이션 테스트의 기본 원리 중에 살충제 패러독스(Pesticide Paradox)는 무엇을 말하는지 서술하시오.
5. 데이터 마이닝이란 무엇인지 서술하시오.
6. 프로토콜의 3요소는?
7. 128비트 암호화 해시 함수이다. RFC 1321로 지정되어 있으며, 주로 프로그램이나 파일이 원본 그대로인지를 확인하는 무결성 검사 등에 사용된다. 1991년에 로널드 라이베스트(Ronald Rivest)가 예전에 쓰이던 MD4를 대체하기 위해 고안한 것은 무엇인가?
8. 비선점형 스케줄링 HRN의 우선순위 계산식을 작성하시오.
9. 아래는 데이터베이스 트랜잭션의 4가지 속성입니다. (가) , (나)에 들어가 단어를 적으십시오.
| 속성 | 설명 |
| (가) | 트랜잭션은 연산들을 전부 실행하든지 전혀 실행하지 않아야 한다. 일부만 실행해서는 안 된다. |
| 일관성 | 트랜잭션이 성공적으로 실행되면 데이터베이스 상태는 모순되지 않고 일관된 상태가 된다. |
| (나) | 트랜잭션 실행 도중의 연산 결과는 다른 트랜잭션에서 접근할 수 없다. |
| 지속성 | 트랜잭션이 성공했을 경우 영구적으로 반영되어야 한다. |
10. 패킷의 출발지 주소(Address)나 포트(port)를 임의로 변경하여 출발지와 목적지 주소(또는 포트)를 동일하게 함으로써, 공격 대상 컴퓨터의 실행 속도를 느리게 하거나 동작을 마비시켜 서비스 거부 상태에 빠지도록 하는 공격 방법을 무엇이라고 하는가?
11. OSI 7계층 중 전송에 필요한 두 장치 간의 실제 접속과 절단 등 기계적, 전기적, 기능적, 절차적 특성에 대한 규칙을 정의하는 계층은 어디인가?
12. LoC 기법으로 개발을 해야 하는 프로젝트의 총 라인이 30000 라인이고, 개발자가 5명, 그리고 인당 월평균 300라인의 개발이 가능할 때, 개발하는데 소요될 것으로 예상되는 시간의 계산식과 그 결과를 작성하시오.
13. 아래는 애플리케이션 성능을 측정하기 위한 요소들이다. (가), (나),(다)에 들어갈 단어를 적으시오.
| 속성 | 설명 |
| (가) | 일정 시간 내에 애플리케이션이 처리하는 일의 양 |
| (나) | 애플리케이션에 요청을 전달한 시간부터 응답이 도착할 때까지 걸린 시간 |
| (다) | 애플리케이션에 작업을 의뢰한 시간부터 처리가 완료될 때까지 걸린 시간 |
| 자원 사용률 | 애플리케이션이 의뢰한 작업을 처리하는 동안의 CPU 사용량, 메모리 사용량, 네트워크 사용량 등 자원 사용률 |
14. (가),(나)에 들어갈 단어를 각각 적으시오.
모듈의 기능적 독립성은 소프트웨어를 구성하는 각 모듈의 기능이 서로 독립됨을 의미하는 것으로, 모듈이 하나의 기능만을 수행하고 다른 모듈과의 과도한 상호작용을 배제함으로써 이루어진다. 모듈의 독립성을 높이기 위해서는 (가)는 약하게, (나)는 강하게 만들어야 한다.
15. 비정규화란 무엇인지 서술하시오.
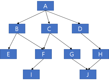
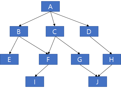
16. 다음의 시스템 구조도에서 팬인(Fan-in)이 2 이상인 것을 작성하시오.

17. 다음의 C 코드의 결과를 쓰시오. (단, 출력문의 출력 서식을 준수하시오.)
#include <stdio.h>
void align(int a[ ]) {
int temp;
for (int i = 0; i < 4; i++) for (int j=0; j < 4 - i; j++)
if (a[j]> a[j+1]) {
temp = a[j];
a[j] = a[j+1];
a[j+1] = temp;
}
}
main( ) {
int a[ ] = { 85, 75, 50, 100, 95 };
align(a);
for (int i = 0; i < 5; i++) printf("%d ", a[i]);
}
18. 다음의 C 코드의 결과를 쓰시오. (단, 출력문의 출력 서식을 준수하시오.)
#include <stdio.h>
main( ) {
int c = 1;
switch (3) {
case 1: c += 3;
case 2: c++;
case 3: c = 0;
case 4: c += 3;
case 5: c -= 10;
default: c--;
}
printf("%d", c);
}
19. 다음 자바 코드의 결과를 쓰시오. (단, 출력문의 출력 서식을 준수하시오.)
public class Test {
static int[ ] arr( ) {
int a[ ] = new int[4];
int b = a.length;
for(int i = 0; i < b; i++)
a[i] = i;
return a;
}
public static void main(String[ ] args) {
int a[ ] = arr( );
for(int i = 0; i < a.length; i++)
System.out.print(a[i] + " ");
}
20. 학생 테이블에 전기과 학생이 50명, 전산과 학생이 100명, 전자과 학생이 50명 있다고 할 때, 다음 SQL문 ①, ②, ③의 실행 결과로 표시되는 튜플의 수를 쓰시오. (단, DEPT 필드는 학과를 의미)
① SELECT DEPT FROM EMPLOYEE;
② SELECT DISTINCT DEPT FROM EPLOYEE;
③ SELECT COUNT(DISTINCT DEPT) FROM EMPLOYEE WHERE DEPT='전산과';
<정답>
1. XML
2. JSON
3. 헤더(머리말)
4. 동일한 테스트 케이스로 동일한 테스트를 반복하면 더 이상 결함이 발견되지 않으므로 테스트 케이스를 지속적으로 개선해야 한다.
5. 많은 데이터 가운데 숨겨져 있는 유용한 상관관계를 발견하여, 미래에 실행 가능한 정보를 추출해 내고 의사 결정에 이용하는 과정을 말한다.
6. 구문, 의미, 타이밍(시간)
7. MD5
8. (대기 시간 + 서비스 시간) / 서비스 시간
9. 원자성, 고립성(독립성)
10. Land Attack(랜드 어택)
11. 물리 계층
12. - 계산식 : (30000 / 5) / 300 - 결과(예상 개발 기간) : 20개월
13. (가) : 처리량, (나): 응답 시간, (다): 경과 시간
14. (가) : 결합도, (나) : 응집도
15. 시스템의 성능 향상, 개발 및 운영의 편의성 등을 위해 정규화된 데이터 모델을 통합, 중복, 분리하는 과정으로, 의도적으로 정규화 원칙을 위배하는 행위이다.
16. F, J
17. 50 75 85 95 100
18. -8
19. 0 1 2 3
20. ① 200
② 3
③ 1
'Develop > Study' 카테고리의 다른 글
| [2021년 2회 ]정보처리기사실기 기출 복원 (0) | 2021.07.14 |
|---|
